Социальные финансовые технологии развития предприятий и экономики России: прогрессивная система оплаты труда

На кафедре финансы в МГТУ им. Н.Э. Баумана разработаны методологические и практические основы социальных финансовых технологий развития предприятий и экономики России [1, 2]. Подробно с использованием экономико-математических моделей раскрыты инструменты социальных финансовых технологи, к которым относятся: прогрессивная система оплаты труда; медицинские накопительные счета (МНС) граждан России; персональные накопительные пенсионные счета (ПНПС) граждан России; суверенная эмиссия; государственное социальное мотивирование развития предприятий. Основная цель, которая объединяет все эти инструменты, заключается в росте доходов работающих граждан и их семей, что выгодно, как доказано в работах [1, 2], и собственникам, и государству. Также цель этой статьи состоит и в том, чтобы работающие граждане осознали, что их эффективный труд является главным фактором развития экономики любого государства.
Социальный – общественный, относящийся к жизни людей и их отношениям в обществе. Всё необходимое (товары, работы, услуги) для жизни людей в обществе в любом государстве создаётся в процессе труда. Это может быть труд на предприятиях любой формы собственности и масштаба (крупные, средние, мелкие), труд самозанятых граждан, труд в рамках домашних хозяйств (воспитание детей, приготовление еды, уборка и т.д.). Другими словами, основные социальные (общественные отношения), необходимые для достойной жизни людей сосредоточены в сфере трудовых отношений.
Мы постоянно слышим по радио и телевидению, читаем в средствах массовой информации о различных формах социальной поддержки. Но чтобы поддержать, сначала нужно создать (произвести в процессе труда) товары, работы и услуги и наполнить бюджеты всех уровней. Другими словами, в общественных (социальных) отношениях главное не распределить, а создать.
В процессе производства товаров, выполнения работ и оказания услуг на всех операциях используется живой труд (труд работающих граждан) и овеществлённый (здания, оборудование, материалы, комплектующие, отопление, освещение и т.д.). Овеществлённый труд без живого ничего не произведёт. Поэтому главным инструментом развития экономики является живой труд – эффективное творческое использование овеществлённого труда с целью производства товаров, выполнения работ и оказания услуг. Другими словами, для развития любого государства главным является мотивация (путем роста заработной платы) работающих граждан (трудовых коллективов) к эффективному труду.
Поэтому при росте выручки и прибыли (финансового результата) заработная плата должна расти темпами не ниже выручки. Также экономически закономерно, что при росте выручки и прибыли автоматически снижается себестоимость за счет условно-постоянных затрат на единицу продукции и, соответственно, образуется дополнительная прибыль, которую, как показано выше прежде всего, опять же, следует направлять на рост заработной платы (живой труд) и развитие (овеществленный труд).
Другими словами, в социальном государстве экономически закономерно, чтобы темпы роста зарплаты опережали темп роста выручки. Под таким соотношением темпов роста выручки и зарплаты и понимается прогрессивная система оплаты труда, которая, как будет показано ниже, при соблюдении устанавливаемых в процессе экономико-математического моделирования пропорций выгодна и для работающих, и для собственников, и для государства.
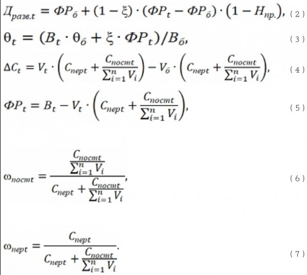
Экономико-математическая модель социального финансирования предприятий и экономики России, оптимизирующая заработную плату трудового коллектива, согласованную с ростом выручки, и прибыли и отчисления на развитие предприятия (актуально для работодателя и всего трудового коллектива) и налоговые поступления (важно для развития государства), имеет вид:
Целевая функция

Ограничения

В экономико-математической модели (1)-(7) использованы следующие обозначения:
ЗПt – среднемесячная номинальная начисленная заработная плата с учётом прогрессивной системы стимулирования труда в t-ом году, руб.; Вt – среднемесячная выручка предприятия от реализации товаров, работ, услуг, приходящаяся на одного работающего в t-ом году, руб.; θб – процент от дохода, направляемый на повышение заработной платы работающих граждан в базовом году (базовом варианте моделирования); ξ – коэффициент перераспределения прироста финансового результата между работающими гражданами и собственниками предприятий; ФРt – финансовый результат предприятия от реализации товаров, работ, услуг в t-ом году, руб.; ФРб – финансовый результат предприятия от реализации товаров, работ, услуг в базовом году (базовом варианте моделирования), руб.; Дразв.t – среднемесячные отчисления в фонд развития предприятия в t-ом году, руб.; Нпр. – ставка налога на прибыль, доли ед.; θt – процент от дохода, направляемый на повышение заработной платы работающих граждан в t-ом году; Вб – среднемесячная выручка предприятия от реализации товаров, работ, услуг, приходящаяся на одного работающего в базовом году (базовом варианте моделирования), руб.; ΔСt – эффект от снижения себестоимости вследствие роста реализации товаров, работ, услуг в t-ом году, руб.; Vt – объём реализации товаров, работ, услуг предприятием в t-ом году, ед.; Сперt – условно-переменные издержки предприятия при реализации товаров, работ, услуг в t-ом году, руб.; Спостt – условно-постоянные издержки предприятия при реализации товаров, работ, услуг в t-ом году, руб.; – суммарный объём реализации товаров, работ, услуг предприятием, ед.; n – количество разновидностей товаров, работ, услуг; ωпостt – доля условно-постоянных издержек в структуре себестоимости реализованных товаров, работ, услуг в t-ом году, доли ед.; ωперt – доля условно-переменных издержек в структуре себестоимости реализованных товаров, работ, услуг в t-ом году, доли ед..
На основе данных бухгалтерского баланса, отчёта о движении денежных средств, отчёта о финансовых результата и количества сотрудников горно-металлургического комбината, начиная с 2021 года с использованием указанных выше экономико-математической модели (1)-(7), алгоритма и программного обеспечения, разработан укрупнённый прогноз развития.
Результаты моделирования представлены в табл. (первый вариант моделирования, соответствующий первой строке табл., является базовым (2020-ый год), в котором указаны значения моделируемых параметров, взятые из годового отчёта комбината). Выручка за 2020-ый год, согласно данным, предоставленным руководством предприятия, равна 1 356 075 000 руб. На рассматриваемом горно-металлургическом комбинате трудятся 404 работающих, следовательно, среднемесячная выручка предприятия, приходящаяся на одного работающего (производительность труда), составит 279 718 руб. = 1 356 075 000 руб. (выручка за 2020 год): 12 (число месяцев в году) : 404 (количество работающих на предприятии), что и указано в первой строке столбца 3 табл. Выручка по годам моделирования (с 2021 по 2029) растет равномерно по 3% в год с 279 718 (2020 год) до 364 968,55 (2029).
Среднемесячная себестоимость продукции на одного работающего, доля условно-постоянных издержек в структуре себестоимости, доля условно-переменных издержек в структуре себестоимости, значения условно-постоянных издержек и условно-переменных издержек приведены соответственно в столбцах 4, 5, 6, 7 и 8 табл. 1.

Поскольку с ростом выручки снижается, за счет условно-постоянных издержек на единицу продукции, себестоимость, то образуется эффект от снижения себестоимости определяемый по формуле (4), представленный в столбце 9, который направляется на рост заработной платы (столб. 12) и в фонд развития (столб. 15). Среднемесячная номинальная начисленная заработная плата с учетом роста средней выручки определяемая первым слагаемым формулы 1 (Вt*θб) приведена в столбце 10. Эффект от снижения себестоимости (столб. 9) направляется на повышение заработной платы (столб. 12) и на отчисление в фонд развития (столб. 15). Среднемесячная поминальная начисленная заработная плата с учетом прогрессивной системы стимулирования труда по годам прогнозирования (столб. 13) определяемая, как сумма значений (столб. 10 + столб. 12). Среднемесячные отчисления с фонда развития (столб. 16) определяется как сумма значений предыдущего года среднемесячных отчислений в фонд развития (столб. 16) и прирост отчислений в фонд развития (столб. 15) текущего года. Финансовый результат по годам моделирования определяется по формуле 5 (столб. 17).
Заключение: Предлагаемая социальная финансовая технология (прогрессивная система оплаты труда) развития предприятий и экономики России, гармонично сочетающая интересы работающих граждан, собственников и государства, даёт возможность:
При вполне достижимых темпах роста выручки на 3% в год обеспечить рост средней заработной платы работающих граждан за 9 лет в 2,97 раза, табл, столб. 13 строки 10 и 1 (99 981 : 33 681 = 2,97). Рост заработной платы, обеспечиваемый предлагаемыми социальными финансовыми технологиями, способствует росту покупательной способности граждан соответствующего региона (стимулирует спрос), а это, в свою очередь, позволяет предприятиям наращивать объёмы реализации продукции, что в совокупности обеспечивает их развитие и последующий рост заработной платы работающих.
Увеличить отчисления в фонд развития за 9 лет от одного работающего в 2,84 раза (столб. 16, строка 10 и строка 1 (29 657,83 : 10 446,00 = 2,84)). Другими словами, если собственник будет мотивировать работающих за счёт увеличения заработной платы к росту объёмов реализации, то средства на развитие будут расти более высокими темпами, чем выручка. Если же собственник всю прибыль заберёт себе, как это в настоящее время делается на многих предприятиях, то увеличить объём реализации без мотивации за счёт роста заработной платы работающих граждан у него не получится, а, следовательно, средств на развитие будет намного меньше. Таким образом, мотивация работающих за счёт увеличения заработной платы, а собственников за счет роста отчислений в фонд развития чрезвычайно выгодна и для собственника. Также важно, что рост заработной платы, жёстко увязанный с увеличением реализации продукции, стимулирует весь трудовой коллектив к развитию предприятия. Другими словами, не только собственник и высшее руководство, а весь трудовой коллектив становится заинтересованным в развитии своего предприятия.
В рассматриваемом примере за 9 лет выручка увеличивается на 31%, соответственно, налог на добавленную стоимость увеличивается в среднем по России примерно на такую же величину. Финансовый результат возрастает в 8,66 раз, что обеспечивает примерно такой же рост налога на прибыль, а доходы трудового коллектива увеличиваются в 2,97 раз, что обеспечивает примерно такой же рост подоходного налога и социальных отчислений.
Таким образом, предложенный механизм (прогрессивная система оплаты труда) обеспечивает значительный рост поступлений во все элементы финансовой системы России (домашние хозяйства, предприятия и государственные финансы).
Литература
1. Социальные финансовые технологии развития предприятий и экономики России: учебник / под ред. Е.В. Соколова – Москва. : Издательский дом «Научная библиотека», 2023. – 304с.
2. Честно и справедливо [электронный ресурс].
Мнения, высказываемые в данной рубрике, могут не совпадать с позицией редакции
Поделиться Поделиться ВКонтакте Telegram Whatsapp Одноклассники Cсылка
Источник: argumenti.ru
Комментарии закрыты.